Du psoriasis à l'arthrite psoriasique : un anti-TNF diminue-t-il le risque d'évolution ?
Près de 30% des patients atteints d’un psoriasis vont développer, sept à dix ans plus tard, une arthrite psoriasique (PsA). De ce constat est née l’idée de traiter vite et fort un psoriasis pour diminuer l’incidence de la PsA. Dans cette démarche, les anti-TNF ont convaincu par rapport à d’autres options, du moins jusqu’à ce que de nouvelles études sèment le doute. Mais pour ces cliniciens italiens, les méthodologies sont discutables et pour le prouver, ils ont conçu une étude “idéale”. Avec quels résultats ? 
Le psoriasis (PSO) touche environ 2% de la population générale. Chez ces patients, la prévalence de PsA varie de 5 à 40%. L’atteinte articulaire est sévère, invalidante et affecte la qualité de vie. Pour ne pas arriver à ce stade, des biologiques (anti-TNF, anti-IL17/23) ont été utilisés, mais avec des résultats contradictoires. Certaines études ont suggéré une diminution du risque de PsA par biothérapie par rapport à une photothérapie, un traitement topique ou des csDMARDs.
Dans cette étude italienne [1], l’incidence de PsA est de 1,20 cas / 100 patients-années sous biologiques, vs 2,17 cas / 100 patients-années sous photothérapie. D’autres, en revanche, ont suggéré un risque majoré de PsA associé à l'utilisation d'anti-TNF comparé à la puvathérapie ou à des traitements non biologiques ou biologiques (anti-IL-17/IL-23). Mais ces études n’étaient pas exemptes de limitations avec des hétérogénéités de traitements, de patients, de durées de suivi, de choix du comparateur ou de non-prise en compte de variables confondantes (activité du PSO, localisations, BMI etc.).
L’étude “idéale”
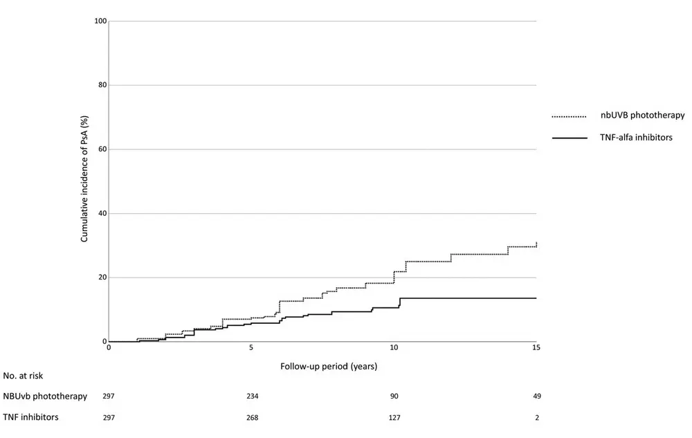
Cette étude longitudinale [2] a retenu les leçons du passé et propose une comparaison de l'incidence à dix ans de PsA chez 946 patients atteints de PSO sévère, traités par anti-TNF (n = 497) ou puvathérapie (n = 449). Un score de propension a été utilisé, qui prend en compte des facteurs de risque de PsA (arthralgies, localisations du PSO, BMI, antécédents familiaux …).
Avec un suivi moyen de 9,6 ans, 98 patients (16,5%) ont développé une PsA, dont 32 (10,7%) traités par anti-TNF et 66 (22,2%) traités par photothérapie UVB. L’incidence de PsA est de 1,83 pour 100 patients atteints de PSO dans l’ensemble de la population, 1,18 dans le groupe anti-TNF et 2,48 dans le groupe UVB. En analyse multivariée, le HR sous anti-TNF est de 0,32 vs puvathérapie (p < 0,0001).
Les anti-TNF persistent et signent
Un traitement par anti-TNF divise par deux le risque de PsA vs photothérapie chez des patients atteints de PSO. D'autres études prospectives seront nécessaires pour évaluer l’effet des anti-IL-23/17 en prévention de PsA. L’étude PAMPA en cours avec le guselkumab devrait fournir des éléments de réponse.
Références
1. Gisondi P, et al. Biological disease-modifying antirheumatic drugs may mitigate the risk of psoriatic arthritis in patients with chronic plaque psoriasis. Ann Rheum Dis. 2022 Jan;81(1):68-73. doi: 10.1136/annrheumdis-2021-219961
2. Piaserico S, et al.TNF-alpha inhibitors reduce the incidence of PsA in patients with psoriasis: a propensity score-matched cohort study, Rheumatology 2025 ;64 (11) :5803–5810. https://doi.org/10.1093/rheumatology/keaf364